반응형
I. 로짓변환의 개요
가. 로짓변환의 개념(logit transformation)의 정의
|
개념 |
개념도 |
|
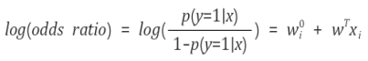
- 로지스틱 회귀분석을 위해 오즈비(odds ratio)에 로그를 취한 함수 |
![]() |
- odds ratio: 성공확률이 실패확률에 비해 몇 배 더 높은지를 나타내는 수식
II. 로지스틱 회귀분석의 개념과 로짓변환을 통해 유도된 로지스틱 함수
가. 로지스틱 회귀분석의 개념
- D.R.Cox가 제안한 확률 모델로서 독립 변수의 선형 결합을 이용하여 사건의 발생 가능성을 예측하는데 사용되는 통계 기법, 분류 기법
나. 로짓변환을 통해 유도된 로지스틱 함수
|
구분 |
항목 |
설명 |
|
로짓변환 통한 로지스틱 함수유도 |
로짓변환 |
- 로지스틱 회귀의 기본적인 접근은 선형 회귀 방식의 사용 ![]() |
|
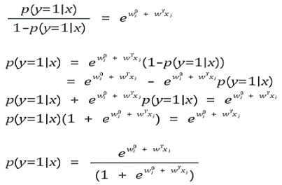
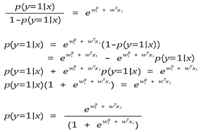
수식전개 |
![]() |
|
|
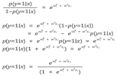
유도된 로지스틱 함수 |
![]() |
|
|
로짓변환 활용사례 |
금융 |
- 고객 신용도(우량, 불량)에 따른 고객 가치 평가(CSS) |
|
통신 |
- 이탈/유지 가능성에 따른 고객 스코어 산출 |
|
|
의학 |
- 심질환 유무 예측, 환자-대조군 연구 |
반응형
'IT기술노트 > 빅데이터' 카테고리의 다른 글
| 코워드 분석 (0) | 2021.03.01 |
|---|---|
| 단어구름(Word Cloud) (0) | 2021.03.01 |
| 텍스트 마이닝(Text Mining) (0) | 2021.03.01 |
| 시계열분석 (1) | 2021.03.01 |
| 회귀분석(Regression Analysis) (0) | 2021.03.01 |
| SNA(Social Network Analysis) (0) | 2021.03.01 |
| R (0) | 2021.03.01 |
| 데이터 시각화 (1) | 2021.03.01 |




댓글